Skip to content Skip to sidebar Skip to footer

How To Find The Quotient Of A Polynomial : Consider the rational function \f(x)=\dfrac{x^2−6x−7}{x−7} onumber \ the function can be factored as follows:

How To Find The Quotient Of A Polynomial : Consider the rational function \f(x)=\dfrac{x^2−6x−7}{x−7} onumber \ the function can be factored as follows:. Consider the rational function \f(x)=\dfrac{x^2−6x−7}{x−7} onumber \ the function can be factored as follows: Expressing it via the formula: (1) synthetic division (2) long division. Before dividing a polynomial, it is usually important to arrange. 👉 learn how to divide polynomials by quadratic divisors using the long division algorithm.

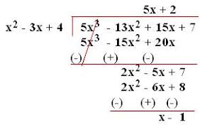
Finding the limit of a quotient; How do you divide a polynomial? 20 = 4 × 5 + 0. When you divide the given dividend p (x) by divisor g (x) then you get quotient q (x) and remainder r (x) of a polynomial. The quotient will be the polynomial placed just under the divisor:

1
1 from
Jul 07, 2016 · expressing it via the formula: 👉 learn how to divide polynomials by quadratic divisors using the long division algorithm. Before dividing a polynomial, it is usually important to arrange. How do you calculate the quotient? Expressing it via the formula: What is the remainder of a polynomial? 13 = divisor × quotient + remainder 13 = 5 ⏟ divisor × 2 ⏟ quotient + 3 ⏟ remainder. Finding the limit of a power or a root;

The quotient will be the polynomial placed just under the divisor:

(1) synthetic division (2) long division. Another example, if we divide the number 20 by 4, the quotient is 5 and the remainder is 0. Finding the limit of a quotient; When you divide the given dividend p (x) by divisor g (x) then you get quotient q (x) and remainder r (x) of a polynomial. Find the quotient and remainder using synthetic division. We can find the quotient s(x) and the remainder r, by proceeding as follows. 👉 learn how to divide polynomials by quadratic divisors using the long division algorithm. Finding the limit of a power or a root; How do you divide a polynomial? Expressing it via the formula: How do you calculate the quotient? $$x^3+2x^2+2x+6$$ the remainder will be the polynomial located at the end, which degree will be always lower than the one of the divisor: 20 = 4 × 5 + 0.

Generally we have two methods to find the quotient of dividing two polynomials. When you divide the given dividend p (x) by divisor g (x) then you get quotient q (x) and remainder r (x) of a polynomial. Before dividing a polynomial, it is usually important to arrange. Consider the rational function \f(x)=\dfrac{x^2−6x−7}{x−7} onumber \ the function can be factored as follows: (1) synthetic division (2) long division.

A Polynomial P X And A Divisor D X Are Given Use Chegg Com
A Polynomial P X And A Divisor D X Are Given Use Chegg Com from media.cheggcdn.com
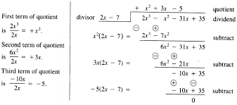
(1) synthetic division (2) long division. Shows two examples of finding the difference quotient of a polynomial function. Divide first term of dividend p (x) by the first term of divisor g (x) and write quotient q (x) at its place. Jan 02, 2021 · finding the limit of a sum, a difference, and a product; $$x^3+2x^2+2x+6$$ the remainder will be the polynomial located at the end, which degree will be always lower than the one of the divisor: How do you calculate the quotient? 20 = 4 × 5 + 0. Finding the limit of a polynomial;

Another example, if we divide the number 20 by 4, the quotient is 5 and the remainder is 0.

How do you divide a polynomial? How do you calculate the quotient? What is the remainder of a polynomial? Generally we have two methods to find the quotient of dividing two polynomials. Expressing it via the formula: Finding the limit of a polynomial; Consider the rational function \f(x)=\dfrac{x^2−6x−7}{x−7} onumber \ the function can be factored as follows: How do you divide two polynomials? We can find the quotient s(x) and the remainder r, by proceeding as follows. Finding the limit of a quotient; Jan 02, 2021 · finding the limit of a sum, a difference, and a product; $$x^3+2x^2+2x+6$$ the remainder will be the polynomial located at the end, which degree will be always lower than the one of the divisor: 20 = 4 × 5 + 0.

When you divide the given dividend p (x) by divisor g (x) then you get quotient q (x) and remainder r (x) of a polynomial. Jan 02, 2021 · finding the limit of a sum, a difference, and a product; Consider the rational function \f(x)=\dfrac{x^2−6x−7}{x−7} onumber \ the function can be factored as follows: We can find the quotient s(x) and the remainder r, by proceeding as follows. $$x^3+2x^2+2x+6$$ the remainder will be the polynomial located at the end, which degree will be always lower than the one of the divisor:

By Actual Division Find The Quotient And Remainder When 3x To The Power 4 4x Cube 3x 1 Is Divided By X 1 Studyrankersonline
By Actual Division Find The Quotient And Remainder When 3x To The Power 4 4x Cube 3x 1 Is Divided By X 1 Studyrankersonline from www.studyrankersonline.com
Another example, if we divide the number 20 by 4, the quotient is 5 and the remainder is 0. Consider the rational function \f(x)=\dfrac{x^2−6x−7}{x−7} onumber \ the function can be factored as follows: What is the remainder of a polynomial? Jul 07, 2016 · expressing it via the formula: How do you divide a polynomial? Finding the limit of a quotient; 13 = divisor × quotient + remainder 13 = 5 ⏟ divisor × 2 ⏟ quotient + 3 ⏟ remainder. Divide first term of dividend p (x) by the first term of divisor g (x) and write quotient q (x) at its place.

Consider the rational function \f(x)=\dfrac{x^2−6x−7}{x−7} onumber \ the function can be factored as follows:

Generally we have two methods to find the quotient of dividing two polynomials. What is the remainder of a polynomial? Another example, if we divide the number 20 by 4, the quotient is 5 and the remainder is 0. Finding the limit of a polynomial; Jul 07, 2016 · expressing it via the formula: Find the quotient and remainder using synthetic division. Consider the rational function \f(x)=\dfrac{x^2−6x−7}{x−7} onumber \ the function can be factored as follows: The quotient will be the polynomial placed just under the divisor: (1) synthetic division (2) long division. How do you calculate the quotient? Divide first term of dividend p (x) by the first term of divisor g (x) and write quotient q (x) at its place. Expressing it via the formula: 20 = 4 × 5 + 0.

20 = 4 × 5 + 0 how to find the quotient. 13 = divisor × quotient + remainder 13 = 5 ⏟ divisor × 2 ⏟ quotient + 3 ⏟ remainder.